• Предмет: Алгебра
  • Автор: andrijkrinicka207
  • Вопрос задан 2 года назад

Даю 30 баліввввввввв​

Приложения:

Ответы

Ответ дал: vinwap
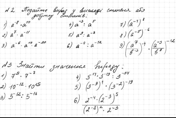
1

Ответ:

2. 1) а² 2) а⁻⁴ 3) ⁻¹⁶ 4) а⁻⁸ 5) а⁶ 6) а⁸ 7) а⁻³² 8) а³⁰ 9)  а⁸/б⁻⁹⁶

3. 1) 1/49 2) 1000 3) 625 4) 1/9 5) 9 6) 1

Объяснение:

При умножении одинаковых чисел в разных степенях степени складываются: а⁻⁸*а¹⁰ = а⁽⁻⁸⁺¹⁰⁾ = а²

При делении одинаковых чисел в разных степенях степени вычитываются: а⁻³:а⁵=а⁽⁻³⁻⁵⁾ = а⁻⁸

При возведении дроби в степени в эту степень возводятся числитель и знаменатель.

При возведении в степень степени, степени умножаются: (а²)⁴=а⁸

Отрицательная степень: а⁻² = 1/а²


andrijkrinicka207: дякую
Вас заинтересует