Ответы
Ответ дал:
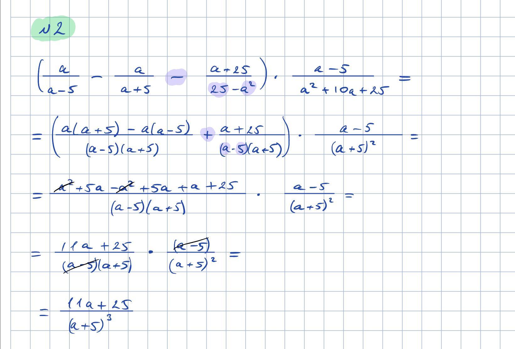
2
По поводу 3 номера: я не знаю, как вы оформляете, прописал общее решение; если нужны будут какие-то доп. записи, то добавь.
PS Первый график(8/x) называется гипербола - это степенная функция, а второй график(x-7) называется прямая - это линейная функция
Приложения:



Вас заинтересует
1 год назад
1 год назад
1 год назад
1 год назад
3 года назад
3 года назад
8 лет назад