Ответы
Ответ дал:
0
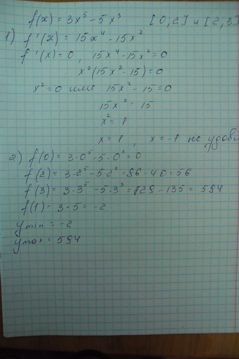
Сначала находим производную, затем приравниваем к нулю. Далее подставляем получившееся значение и значения из промежутка и выбираем наибольшее и наименьшее значение.
Приложения:

Ответ дал:
0
Спасибо огромное!
Вас заинтересует
2 года назад
2 года назад
8 лет назад
8 лет назад
10 лет назад
10 лет назад
10 лет назад