• Предмет: Алгебра
  • Автор: rtp8679
  • Вопрос задан 2 года назад

Допоможіть будь ласка

Приложения:

Ответы

Ответ дал: khrushchnas200019
1

Ответ:

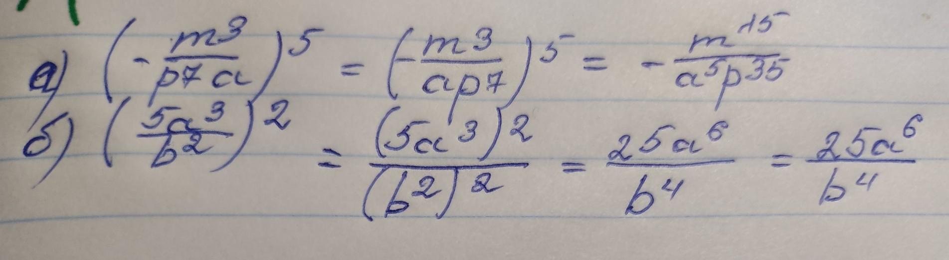
а)-m¹⁵/a⁵p³⁵, б) 25а⁶/b⁴

Объяснение:

на фотке

Приложения:
Ответ дал: svetazuna
0

а)

(- m³ / p⁷a)⁵  =  - m¹⁵ / p³⁵a⁵

б)

(5a³ / b²)²  =  25a⁶ / b⁴

Вас заинтересует