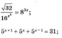
на фото ( левые ответы , ответы без решения , фотоматч в бан )
Приложения:

MizoriesKun:
Наконец- то))
Ответы
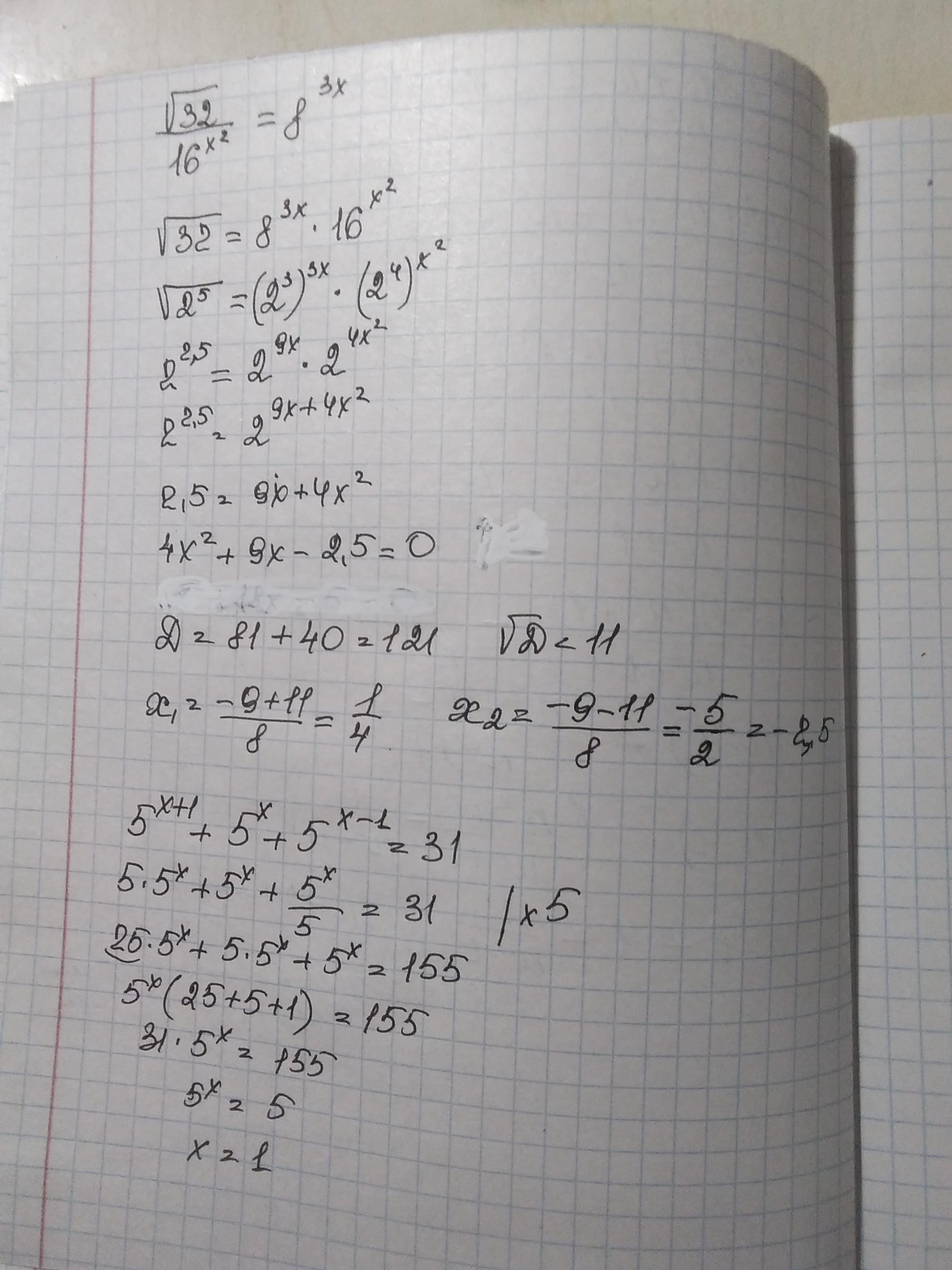
Ответ дал:
2
Смотри....................
Приложения:

Вас заинтересует
1 год назад
1 год назад
1 год назад
1 год назад
3 года назад
8 лет назад