• Предмет: Алгебра
  • Автор: anton200802
  • Вопрос задан 2 года назад

хелпуууууууууууууууууууууууууууууууууууууууууууууууууууууууууу пожайлустаааааааааааааа

Приложения:

anton200802: У меняя еще есть хелпууу

Ответы

Ответ дал: Muanie
0

Відповідь:

4

Пояснення:

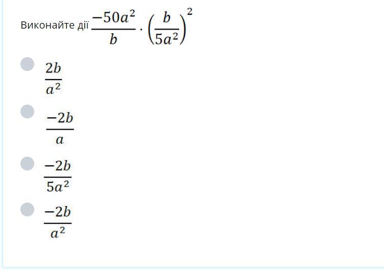
-50a^2/b • (b/5a^2)^2
-50a^2/b • b^2/5a^4
-2 • b/a^2
-2b/a^2

Вас заинтересует