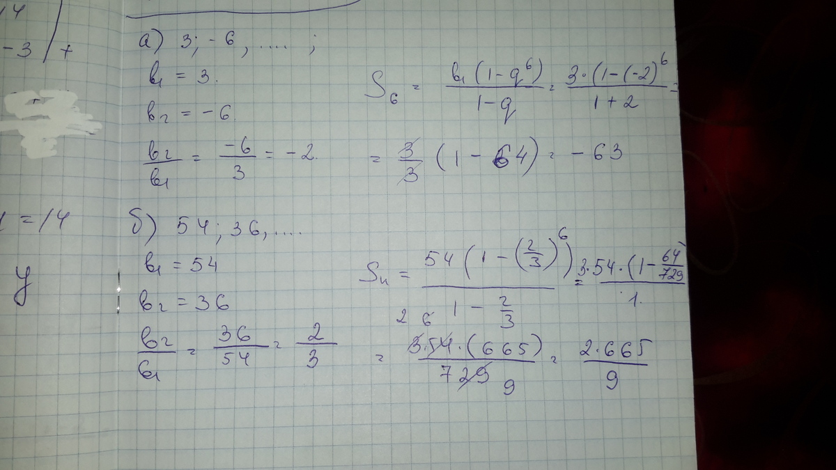
найдите сумму первых шести членов геометрической пргрессии а)3;-6...; б)54;36;...; тема формула суммы первых n членов геометрической пргрессии
Ответы
Ответ дал:
0
"""""""""""""""""""""""""""""""""""""""""""""""""
Приложения:
Вас заинтересует
3 года назад
3 года назад
8 лет назад
8 лет назад
11 лет назад
11 лет назад
11 лет назад