• Предмет: Математика
  • Автор: dashokokda0
  • Вопрос задан 2 года назад

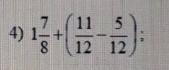
Помогите срочно ! даю 30 баллов!​

Приложения:

Ответы

Ответ дал: anchous0987654321
1

Ответ:

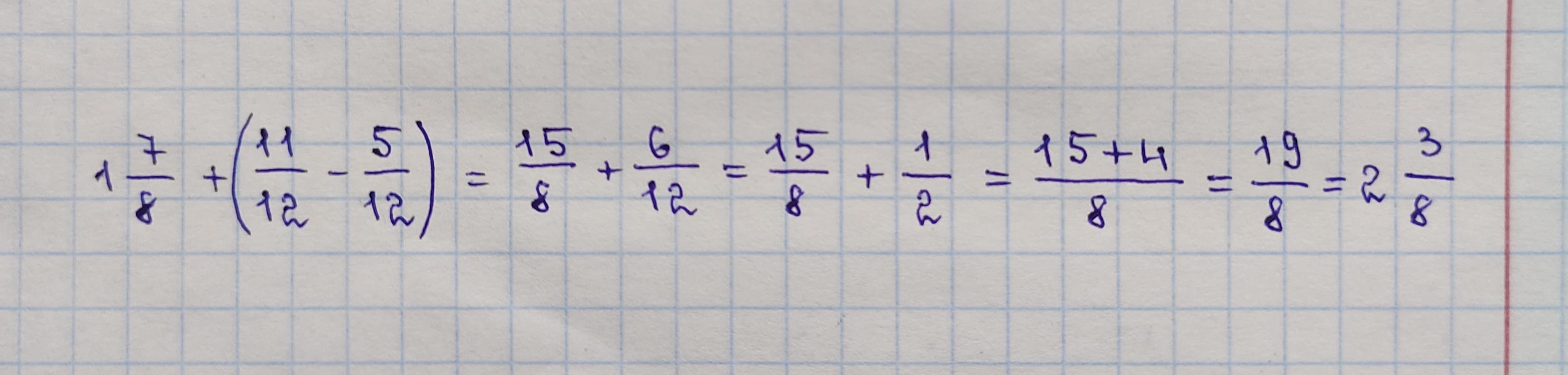
Простите, ответ не сохранялся, вот фото решения

Пошаговое объяснение:

Приложения:
Ответ дал: fursenko711
0

Ответ:

2.375

zgbplokmmbihcihcg

Вас заинтересует