• Предмет: Математика
  • Автор: Аноним
  • Вопрос задан 2 года назад

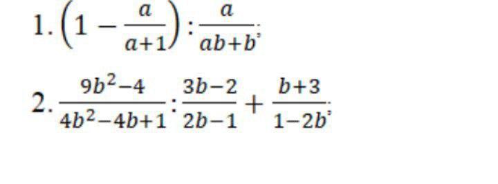
Срочно,желательно фото зделаной работы на листочке/чернетке
даю 100 балов

Приложения:

Ответы

Ответ дал: OblivionFire
2

Ответ:

фото.

Пошаговое объяснение:

.........................

Приложения:
Вас заинтересует