Ответы
Ответ дал:
2
Объяснение:
РІШЕННЯ НА ФОТО,БУДЬ ЛАСКА ДОПОМОЖИ СТАТИ ОТЛИЧНИКОМ НАЖМИ НА КРАЩА ВІДПОВІДЬ
Приложения:
Ответ дал:
1
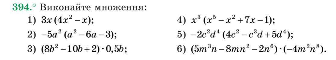
1) 3x(4x^2-x)=12x^2 - 3x^2
2) -5а^2(а^2-6а-3) =
-5а^4 + 30а^3 + 15а^2
3)(8b^2-10b+2)•0,5b=
4b^3 - 5b^2 + b
4)x^3(x^5-x^2+7x-1) =x^8-
x^5 + 7x^4 - x^3
5)-2c^2d^4(4c^2 - c^3d + 5d^4) =
-8c^4d^4 + 2c^5d^5 - 10c^2d^8
6) (5m^3n - 8mn^2 - 2n^6) •
(-4m^2n^8) = -20m^6n^9 + 32m^3n^10 + 8m^2n^14
2) -5а^2(а^2-6а-3) =
-5а^4 + 30а^3 + 15а^2
3)(8b^2-10b+2)•0,5b=
4b^3 - 5b^2 + b
4)x^3(x^5-x^2+7x-1) =x^8-
x^5 + 7x^4 - x^3
5)-2c^2d^4(4c^2 - c^3d + 5d^4) =
-8c^4d^4 + 2c^5d^5 - 10c^2d^8
6) (5m^3n - 8mn^2 - 2n^6) •
(-4m^2n^8) = -20m^6n^9 + 32m^3n^10 + 8m^2n^14
Вас заинтересует
2 года назад
2 года назад
2 года назад
3 года назад
3 года назад
9 лет назад