• Предмет: Математика
  • Автор: kottik1710
  • Вопрос задан 2 года назад

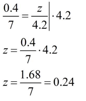
знайдіть невідомий член пропорції 0,4/7 = z/4,2

Ответы

Ответ дал: jekadva
3

Ответ:

Пошаговое объяснение:

0,4/7 = z/4,2

7 * z = 4,2 * 0,4

7z = 1,68

z = 1,68 : 7

z = 0,24

Ответ дал: linnikv10
1

Відповідь:

z=0.24

Покрокове пояснення:

пошагово на кртинке

Приложения:
Вас заинтересует