• Предмет: Алгебра
  • Автор: Аноним
  • Вопрос задан 2 года назад

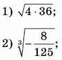
Обчисліть значення виразу:
10 клас тема, корінь n-го степеня

Приложения:

Ответы

Ответ дал: fortunatusagent008
1

Ответ:

12

-2/5

Объяснение:

✓ 4 *36 = ✓4 * ✓36 = 2*6 = 12

 \sqrt[3]{ \frac{ - 8}{125} }  =   \frac{ \sqrt[3]{ - 8} }{ \sqrt[3]{125} }  =  -  \frac{2}{5}

Вас заинтересует