Ответы
Ответ дал:
2
Пошаговое объяснение:
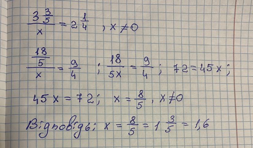
3 3/5 : х = 2 1/4
х = 3 3/5 : 2 1/4
х = 18/5 : 9/4
х = 18/5 * 4/9
х = 2/5 * 4/1
х = 8/5
х = 1 3/5
kola431364:
дякую ви найкращі
Ответ дал:
2
Відповідь на фото))))))
Приложения:

Вас заинтересует
1 год назад
1 год назад
3 года назад
3 года назад
8 лет назад
8 лет назад