Ответы
Ответ дал:
1
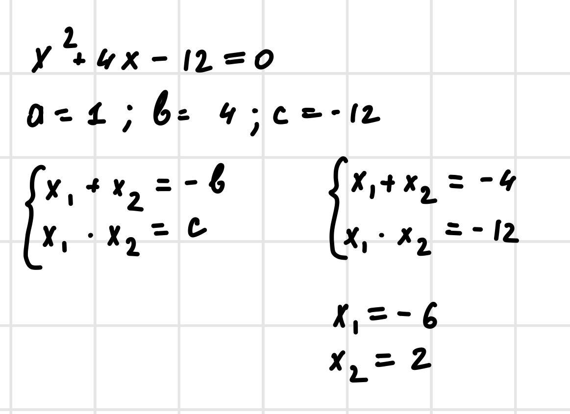
Теорема Виета подразумевает подбор Корней таким образом, чтобы выполнялось одновременно два условия (система). x1+x2 = -b и x1*x2 = c. В данном случае надо найти два числа, который при сложении дают -4, а при умножении -12, очевидно это числа -6 и 2.
Надеюсь помог, удачи)
Приложения:

eyehebkaksow10283:
спасибо!!!!
Ответ дал:
1
Ответ:
(2; -6)
Объяснение:
x²+4x-12=0
х₁ + х₂ = -b = -4
x₁x₁=c=-12
x₁=2; x₂=-6
Вас заинтересует
1 год назад
1 год назад
1 год назад
1 год назад
3 года назад
3 года назад
8 лет назад