• Предмет: Алгебра
  • Автор: Аноним
  • Вопрос задан 2 года назад

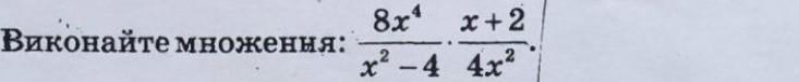
Виконайте множення: 8x1 x+2 x²-4 4x²​

Приложения:

Ответы

Ответ дал: elviraakulenok7
4

Ответ:

ниже

Объяснение:

8x⁴/x²-4 × X+2/4x²=8x⁴/(x-2)(X+2) ×x+2/4x²=8x⁴(X+2)/(x-2)(X+2)4x²=2x²/x-2

Вас заинтересует