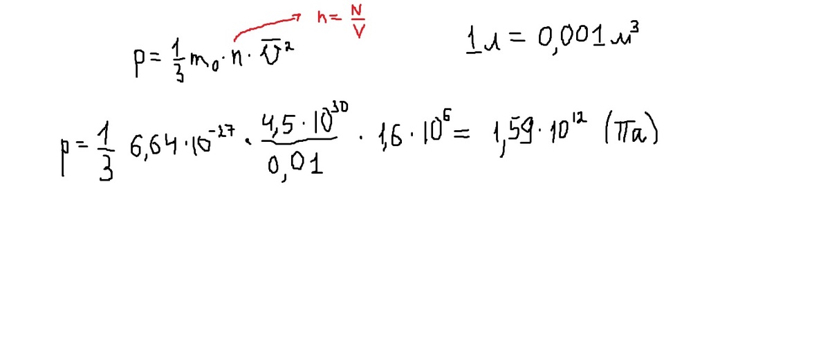
Чему равно давление гелия на стенки сосуда емкостью 10 л, если в нем находится 4,5*10^30 молекул?
Масса молекулы гелия 6,64*10^-27 кг, средний квадрат скорости молекул 1,6*10^6 м^2/с^2
Ответы
Ответ дал:
0
решение в картинке.!!
Приложения:

Вас заинтересует
2 года назад
2 года назад
8 лет назад
8 лет назад
10 лет назад
10 лет назад
10 лет назад
10 лет назад