• Предмет: Алгебра
  • Автор: Sanya2263
  • Вопрос задан 2 года назад

Помогите, пожалуйста, вычислить неопределённый интеграл!

Приложения:

saydullaevamuniska: Я могу для вас только нижний дискременант решить так что я за ответ это не посчитаю.
saydullaevamuniska: Сейчас дам ответ
Э.
Sanya2263: Дискриминант? Не нужно.
saydullaevamuniska: Д=64-4*1*18=-8
saydullaevamuniska: А хорошо извените

Ответы

Ответ дал: HSS9860
1

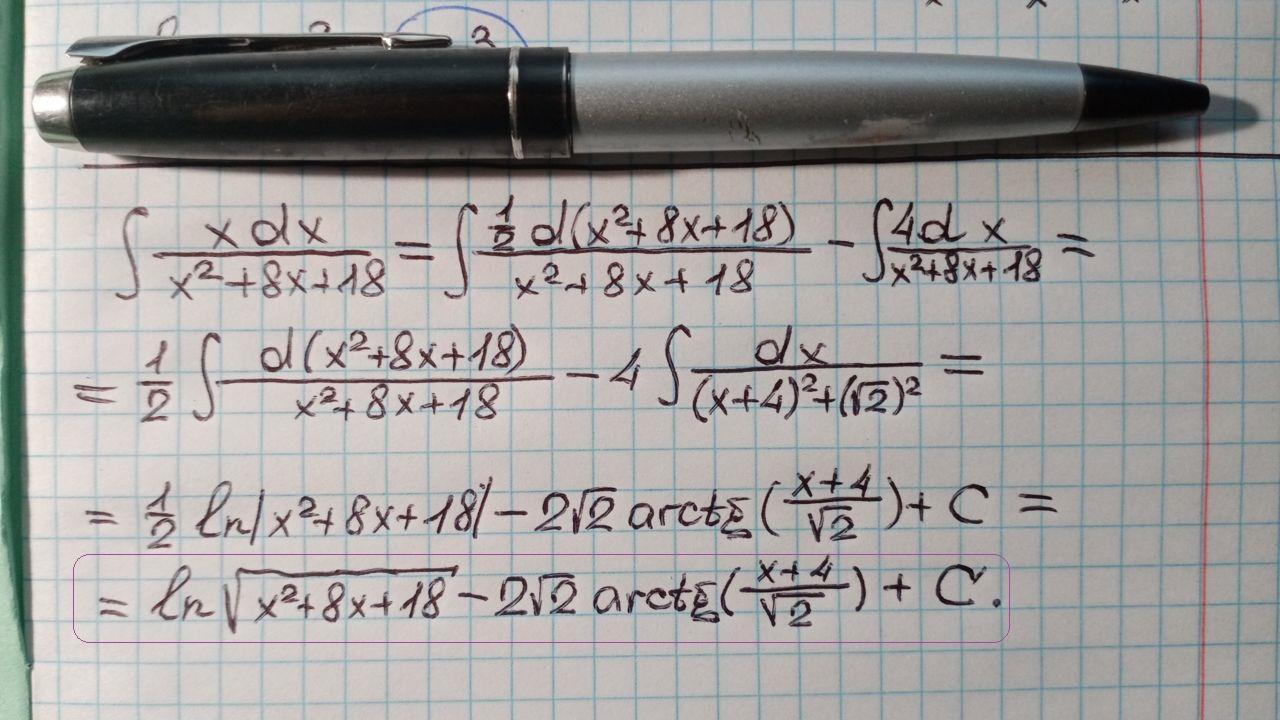
Ответ:

ln \sqrt{x^2+8x+18}-2\sqrt{2}arctg(\frac{x+4}{\sqrt{2}})+C.

Объяснение:

детали во вложении: использовался метод подведения под знак дифференциала (первый интеграл) и выделение квадрата суммы (второй интеграл).
Проверка не проводилась.

Приложения:

Sanya2263: Огромное спасибо!
Вас заинтересует