Ответы
Ответ дал:
0
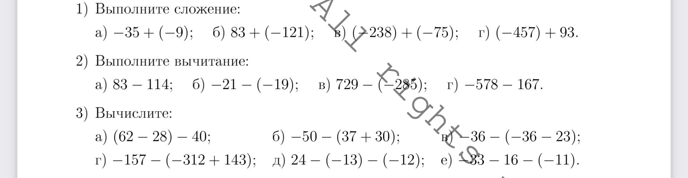
ответ :
1) -6
2)-117
3)-23
4)-326
5)25
6)-38
сначала нужно решить то что в скобке . ставится знак у которого больше цифр( минус либо плюс )
Ответ дал:
0
Пошаговое объяснение:
___________вот_______________
Приложения:

Вас заинтересует
1 год назад
1 год назад
3 года назад