СРОЧНО, ДАЮ 50 БАЛЛОВ
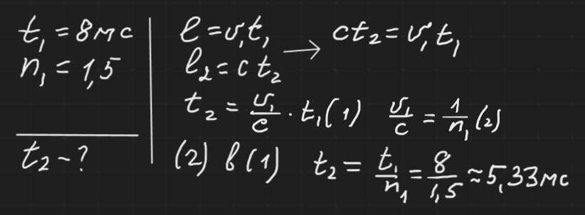
За який час монохроматичне світло у вакуум подолає такий самий шлях, який воно проходить у склi за 8 мс? Показник заломлення скла - 1,5.
Ответы
Ответ дал:
0
Відповідь: ≈ 5,33 мс
Пояснення:
Приложения:

Вас заинтересует
1 год назад
1 год назад
1 год назад
1 год назад
3 года назад
3 года назад
8 лет назад