• Предмет: Алгебра
  • Автор: daniil021186
  • Вопрос задан 2 года назад

решите пожалуйста и не пишите рандомные ответы, я не смогу заново пройти тест ​

Приложения:

Ответы

Ответ дал: ari12093487
0

Ответ:я не уверен, но вроде бы M и

Объяснение:

Ответ дал: parus77
1

Ответ:

М и К

Объяснение:

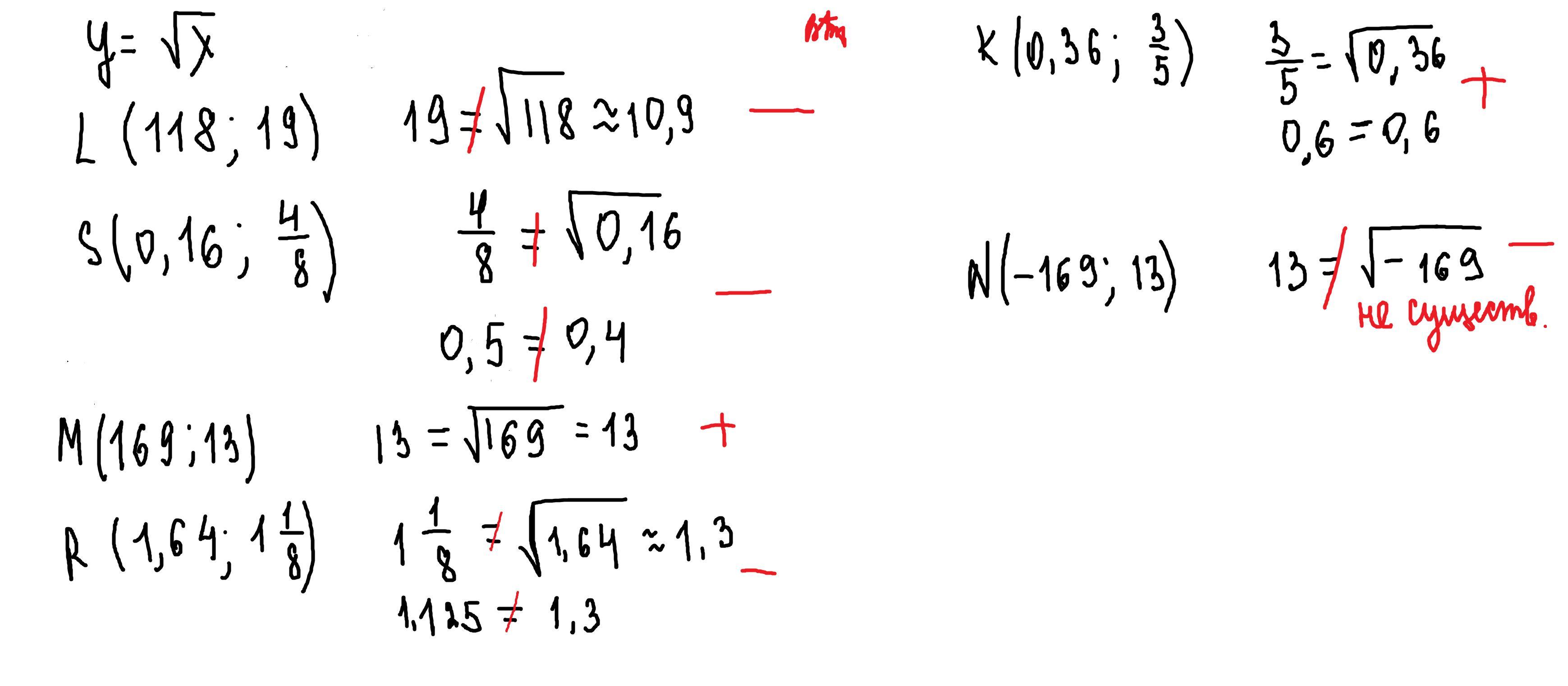
решение внизу

находим кв.корень из координаты Х(она стоит на первом месте) и сравниваем с значением У(стоит на втором месте)

если равенство верное,то принадлежат графику,

я там поставила знак плюс

Приложения:

australopithecine: помогите, пожалуйста, решить задание. алгебра, 9 класс, 50 баллов
australopithecine: https://znanija.com/task/50900935
australopithecine: Здравствуйте. Помогите пожалуйста решить задание на построение графика. Задание по алгебре, 9 класс. За задание 30 баллов.
australopithecine: https://znanija.com/task/50909908?answeringSource=feedPublic%2FhomePage%2F6
Вас заинтересует