• Предмет: Алгебра
  • Автор: Аноним
  • Вопрос задан 2 года назад

срочно помогите. даю 20 балов​

Приложения:

Ответы

Ответ дал: hrkcz001
1

Ответ:

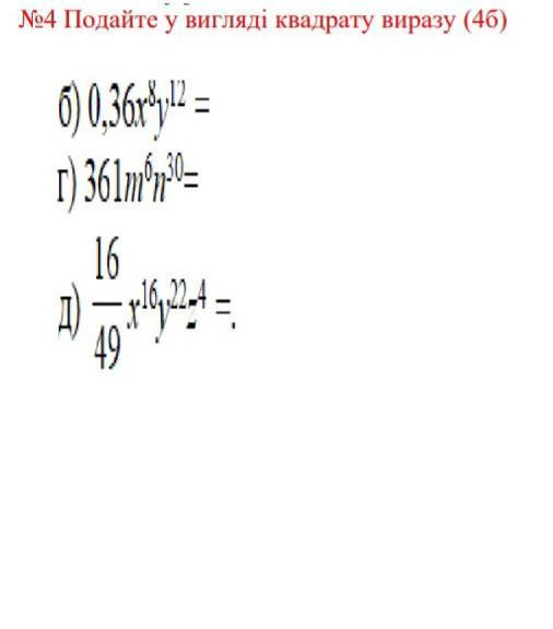
1) 0.36 x⁸y¹² = (0.6)² (x⁴)² (y⁶)² = (0,6x⁴y⁶)²

2) 361m⁶n³⁰ = (19)² (m³)² (n¹⁵)² = (19m³n¹⁵)²

3) \frac{16}{49} x^{16} y^{22} z^{4} = (\frac{4}{7})^{2} (x^{8})^{2} (y^{11})^{2} (z^{2})^{2} = (\frac{4}{7} x^{8} y^{11} z^{2})^{2}

Объяснение:

x^{ab} = (x^{a})^{b} = (x^{b})^{a}\\(\frac{x}{y})^{a} = \frac{(x)^{a}}{(y)^{a}}


Аноним: спс
Вас заинтересует