Помогите пожалуйста!
Как свернуть сумму:
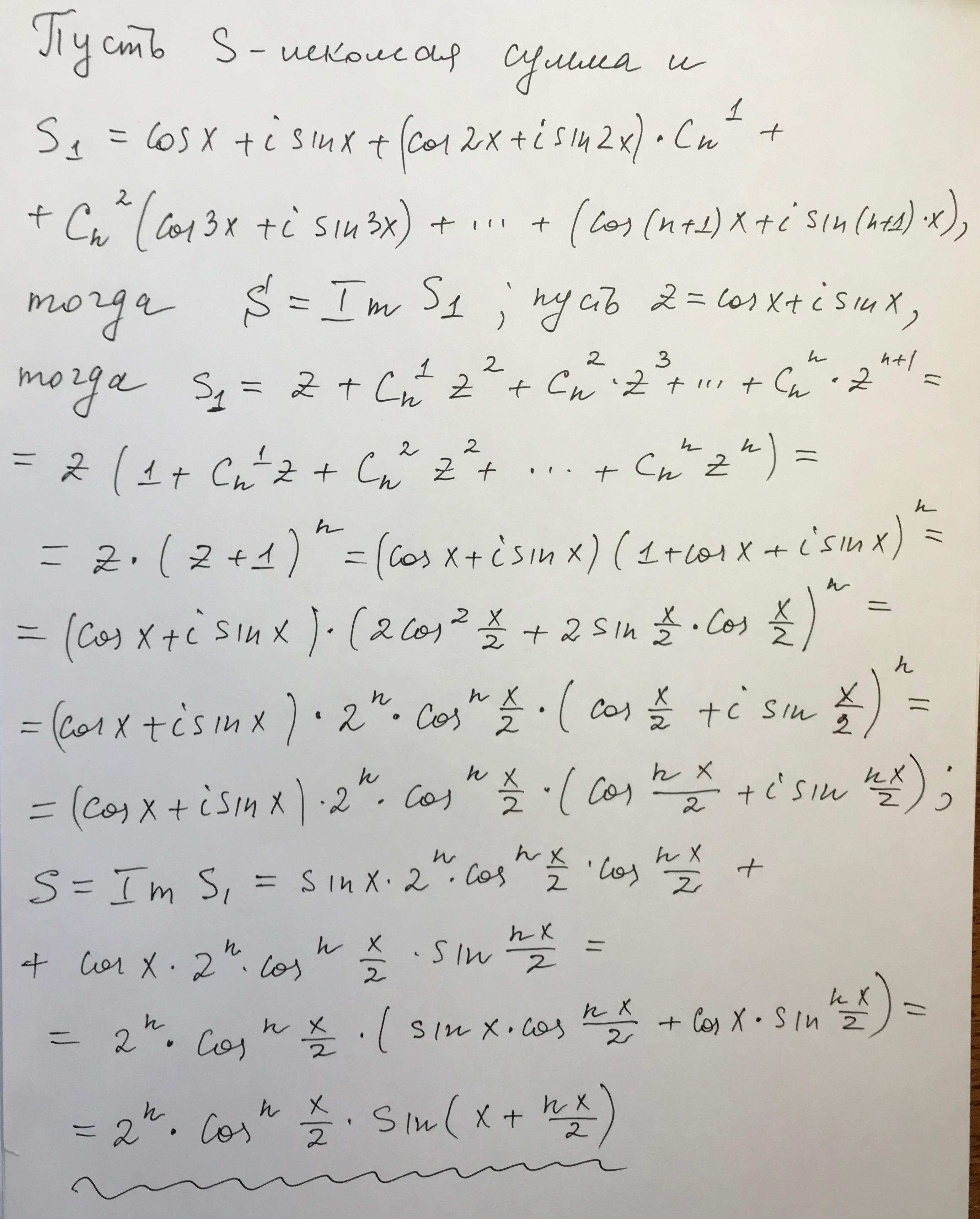
sinx + C1n * sin2x + C2n * sin3x + ... + Cnn * sin(n+1)x, где C1n и тд - биномиальные коэффициенты
antonovm:
без комплексных чисел не обойтись , ну ещё бином и формула Муавра , пример явно не для этого сайта
Ответы
Ответ дал:
1
Ответ:
.............................................................
Пошаговое объяснение:
Приложения:

Вас заинтересует
1 год назад
1 год назад
1 год назад
1 год назад
3 года назад
8 лет назад
8 лет назад