• Предмет: Физика
  • Автор: romankovtunovych
  • Вопрос задан 2 года назад

70балов срочно
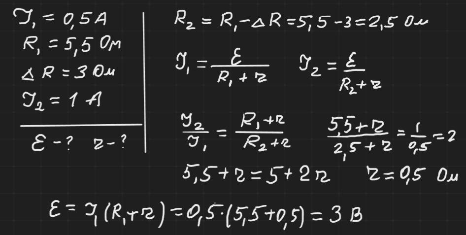
4. Джерело електричної енергії створює струм 0,5 А при опорі зовнішньої частини кола 5,5 Ом. Якщо зовнішній опір зменшити на 3 Ом, струм зросте до 1 А. Визначити EPC і внутрішній опір джерела енергії.​

Ответы

Ответ дал: zybkov1950
0

Відповідь: 3 В; 0,5 Ом

Пояснення:

Приложения:
Вас заинтересует