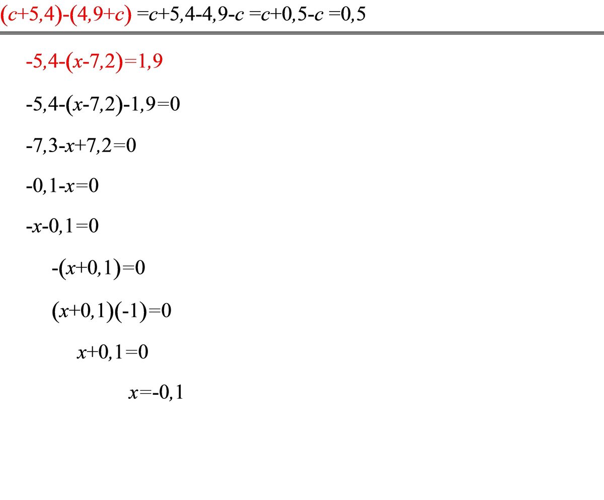
номер 2 упростите выражение все увидете на фото
и номер 3 решите уравнение тоже увидете на фото
Приложения:

Ответы
Ответ дал:
0
файл
=======================
Приложения:

Ответ дал:
0
2) 10,3..если решать не надо, то просто раскрой скобки.у меня в решении есть
3) Ответ -0,1
Приложения:

Вас заинтересует
2 года назад
8 лет назад
10 лет назад
10 лет назад