• Предмет: Алгебра
  • Автор: Oproma
  • Вопрос задан 2 года назад

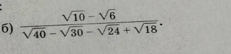
Сократите дробь на картинке

Приложения:

Ответы

Ответ дал: k6411852
0

Ответ:

2 +  \sqrt{3 \\ }

...


Oproma: А объяснение?
Вас заинтересует