• Предмет: Алгебра
  • Автор: marinet273
  • Вопрос задан 2 года назад

Решитееее быстрее пожалуйста срочно надо даю 20 баллов!!!!!! ​

Приложения:

Ответы

Ответ дал: ImNotOk
0

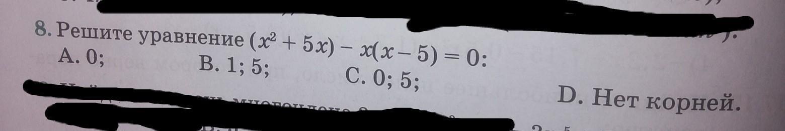
(x^2+5x)-x(x-5)=0

x^2+5x-x^2+5x=0

10x=0
x=0
Ответ:A

Вас заинтересует