• Предмет: Математика
  • Автор: mhiznij
  • Вопрос задан 2 года назад

СРОЧНО!!!!Пока не выключили свет а то умру!!!25 баллов.

Приложения:

Ответы

Ответ дал: maydoncute
1

Відповідь:

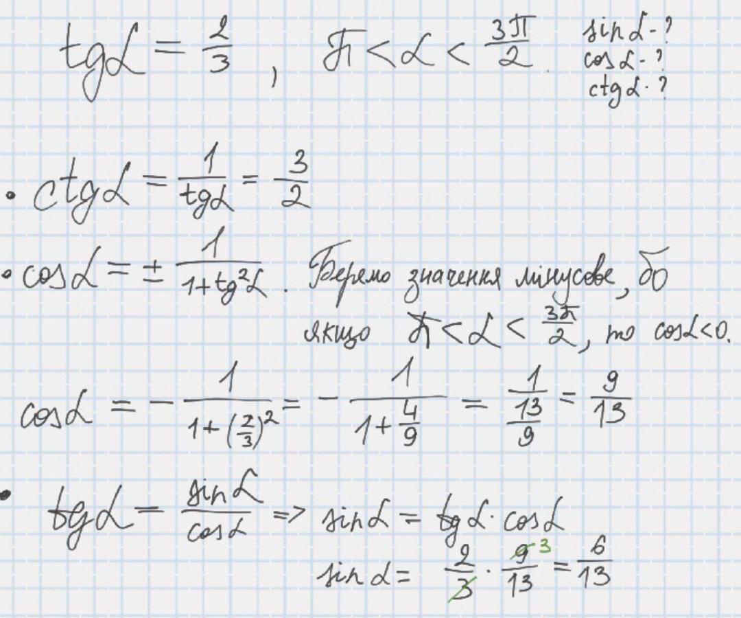
Усе на світлині знизу.

Приложения:

mhiznij: Велике Дякую
maydoncute: Радий допомогти)
Вас заинтересует