• Предмет: Математика
  • Автор: fgjjjj3hyvyccy
  • Вопрос задан 2 года назад

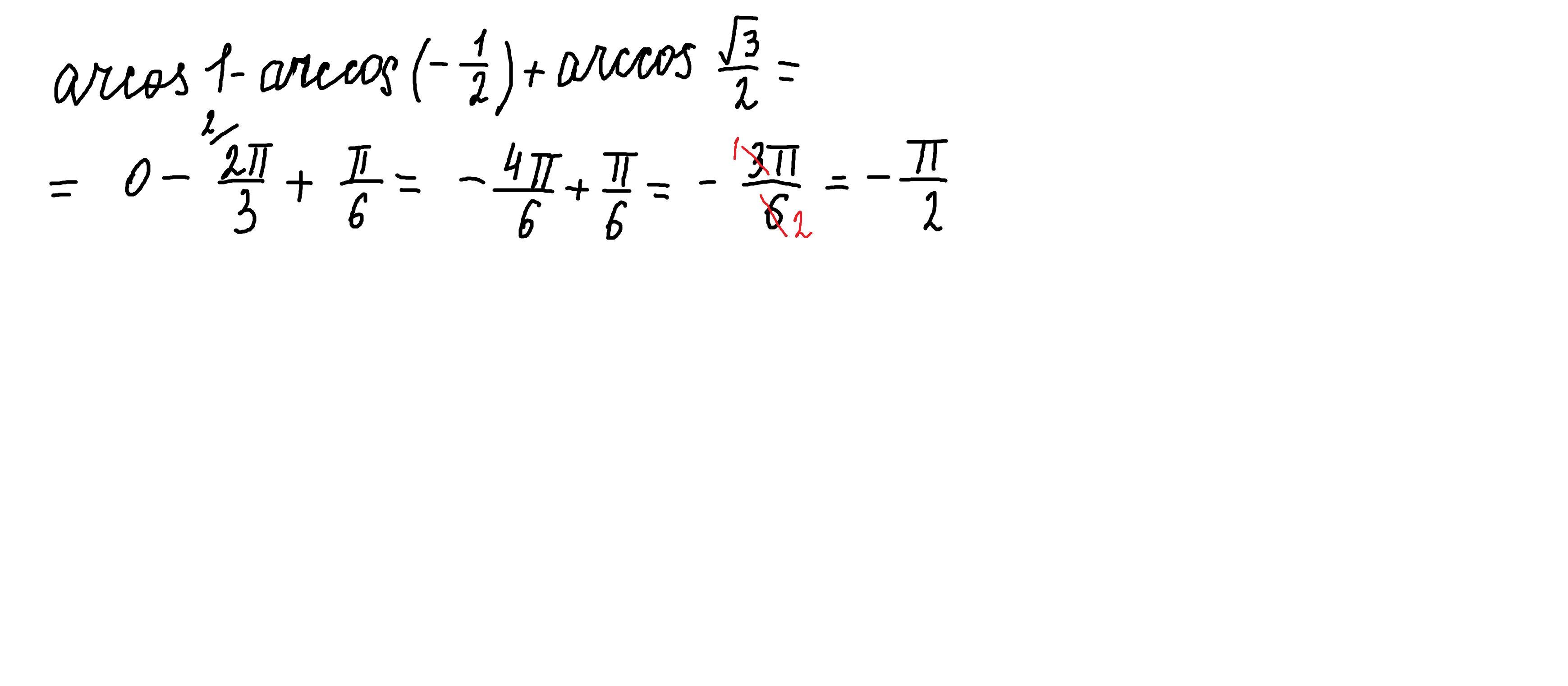
ПОМОГИТЕ ЗАВТРА ЭКЗАМЕНЫ Вычислить обратную тригонометрическую функцию.

Приложения:

Ответы

Ответ дал: parus77
1

Ответ:

Пошаговое объяснение:

это же очень просто

применяем таблицу значений обратных тригонометрических функций и находим

Приложения:
Вас заинтересует