• Предмет: Алгебра
  • Автор: alreadyjjjjj
  • Вопрос задан 2 года назад

Допоможіть будь ласка завдання на фото ​

Приложения:

Ответы

Ответ дал: parus77
1

Ответ:

Объяснение:

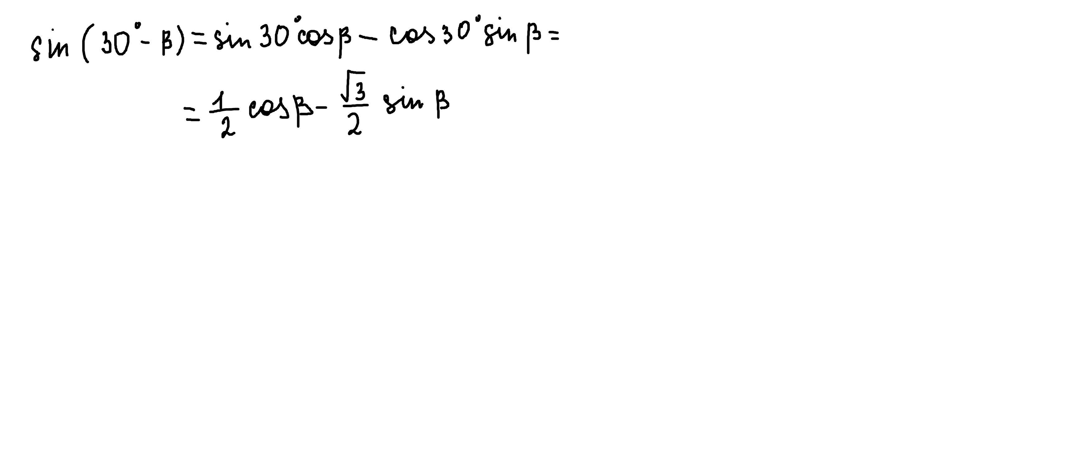
если я правильно поняла ваше условие,то тогда так:

Приложения:

Аноним: Привет бро. Не поможешь с алгеброй пожалуйста? Буду очень благодарен. 2 последних задания в профиле.
Вас заинтересует