• Предмет: Математика
  • Автор: dgamkrelidze7
  • Вопрос задан 2 года назад

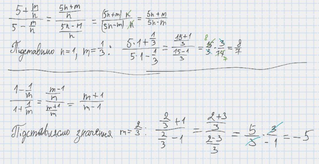
Спростіть вираз і найдіть його значення (1, 2 завдання) срочно даю 95 балов

Приложения:

Ответы

Ответ дал: maydoncute
1

Відповідь:

Усе на світлині знизу.

Приложения:
Вас заинтересует