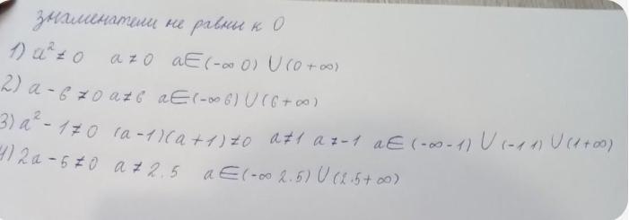
641. Найдите допустимые значения переменной а в алгебраическом вы- ражении: 1) a +1; а 2) a ; a - 6 3) a + 2 2 a²-1 4) О 2a-5 179
Приложения:

daniilschitz777:
Ответ чела снизу удали
Ответы
Ответ дал:
17
Ответ:
Пошаговое объяснение:
Приложения:

Вас заинтересует
1 год назад
1 год назад
1 год назад
3 года назад
3 года назад
8 лет назад