Ответы
Ответ дал:
0
Ответ:
атвтвлвлвочосочовооттваьаьаьвьаьаьаььаьаьаьвьвсьь
Ответ дал:
1
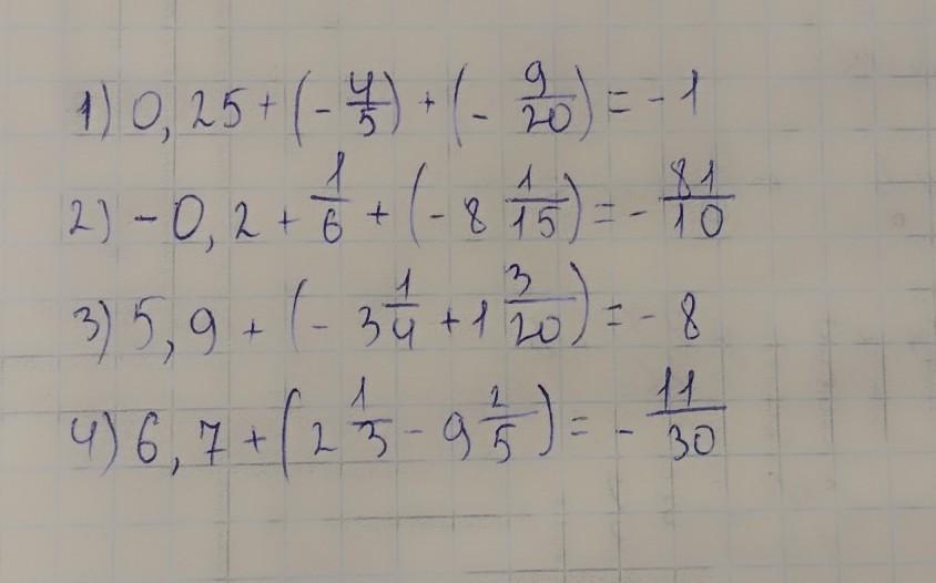
Вычисление на фото :))))
Приложения:

dasa39lp:
спасибо
Вас заинтересует
1 год назад
1 год назад
1 год назад
1 год назад
3 года назад
8 лет назад