• Предмет: Алгебра
  • Автор: centrdetysumy
  • Вопрос задан 2 года назад

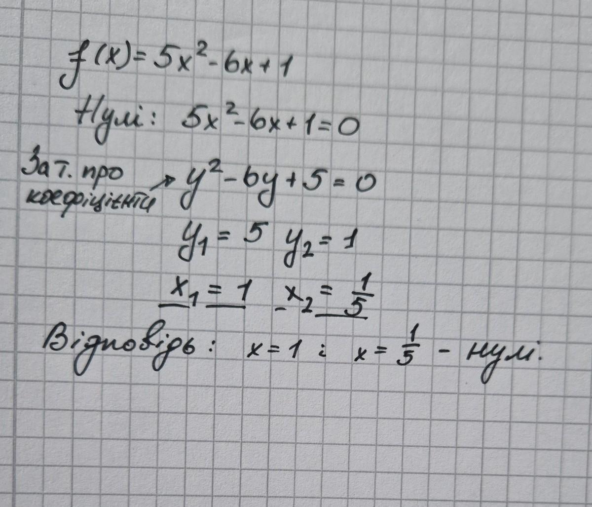
знайти нули функции f(x)=5x^-6x+1

Ответы

Ответ дал: kkane1745
0

Ответ:

если я правильно поняла, что 5х^2

Приложения:
Вас заинтересует