• Предмет: Математика
  • Автор: userimus
  • Вопрос задан 2 года назад

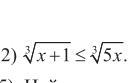
Помогите пожалуйста с дз. Даю 40 баллов

Приложения:

Ответы

Ответ дал: alievaasila245
1

Ответ:

не забудь про лучший ответ и лайк

Приложения:
Вас заинтересует