• Предмет: Математика
  • Автор: Аноним
  • Вопрос задан 10 лет назад

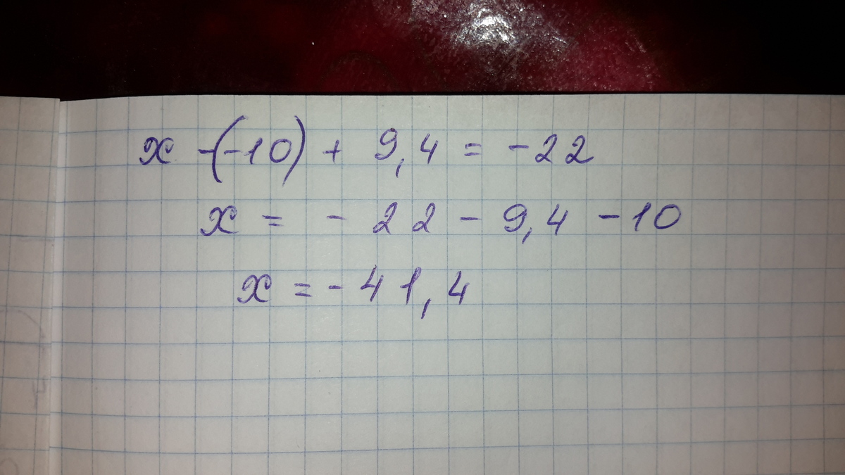
Найти с помощью координатной прямой сумму чисел а) -4 и 6,5 б)-4,5 и -2,1- б)-1 2/5+(-3 4/5) Выполнить сложение:а) (-64)+14,-5/7+2/3 Выполнить вычитание-14-(-23/4) Найти значение выражения:(-6)-(-2)+12,5-8,4 Решить уравнение: х-(-10)+9,4=-22 Решить уравнение:/1-х/=6 /2-х/=9

Ответы

Ответ дал: prostomama1
0
"""""""""""""""""""""""""""""""""""""""""
Приложения:
Ответ дал: Аноним
0
еще поможете?
Ответ дал: prostomama1
0
Следующий раз скидывай фото а то совсем непонятно
Ответ дал: Аноним
0
ок
Ответ дал: Аноним
0
еще поможете?
Ответ дал: Аноним
0
http://znanija.com/task/5095177
Вас заинтересует