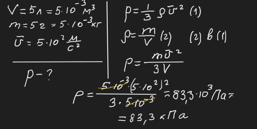
Визначити тиск молекул газу на стінки посудини об'ємом 5 л, якщо маса молекул складає 5 г, а їх квадратична швидкість 500 м/с.
Ответы
                                            Ответ дал: 
                                                                                    
                                        
                                            
                                                
                                                
                                                
                                                    0
                                                
                                            
                                        
                                    Відповідь: ≈ 83,3 кПа
Пояснення:
Приложения:
                    
                            
                    sachavolchenko1:
                    привіт можеш будь ласка допомогти із завданням з фізики
                
            
                                            Ответ дал: 
                                                                                            
                                                    
                                                
                                                                                    
                                        
                                            
                                                
                                                
                                                
                                                    0
                                                
                                            
                                        
                                    Відповідь: 83.3 кПа
Пояснення:
Приложения:
                    
                            Вас заинтересует
                
                        1 год назад
                    
                
                        3 года назад
                    
                
                        3 года назад
                    
                
                        8 лет назад