• Предмет: Математика
  • Автор: kema13ua
  • Вопрос задан 2 года назад

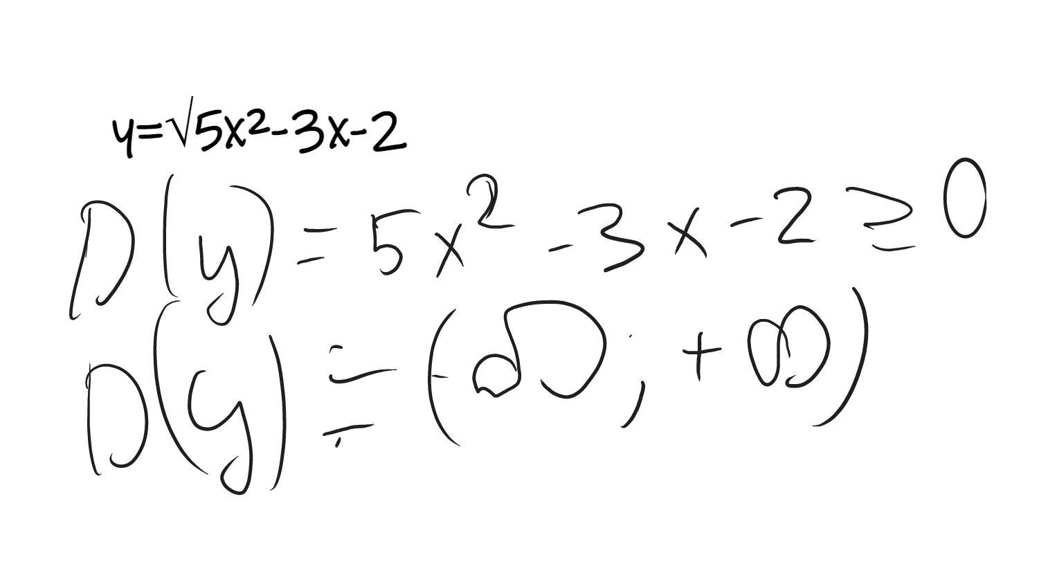
Знайти область визначення функції y=√5x²-3x-2 Срочно!!!

Ответы

Ответ дал: dm1502
1

Відповідь:

областю визначення квадратичної функції - є безліч усіх чисел

Приложения:
Вас заинтересует