• Предмет: Алгебра
  • Автор: alexburenkova0606201
  • Вопрос задан 2 года назад

ПОМОГИТЕ ПОЖАЛУЙСТА!!ОЧЕНЬ СРОЧНО!!!! ДАЮ 10 БАЛЛОВ!! 7класс
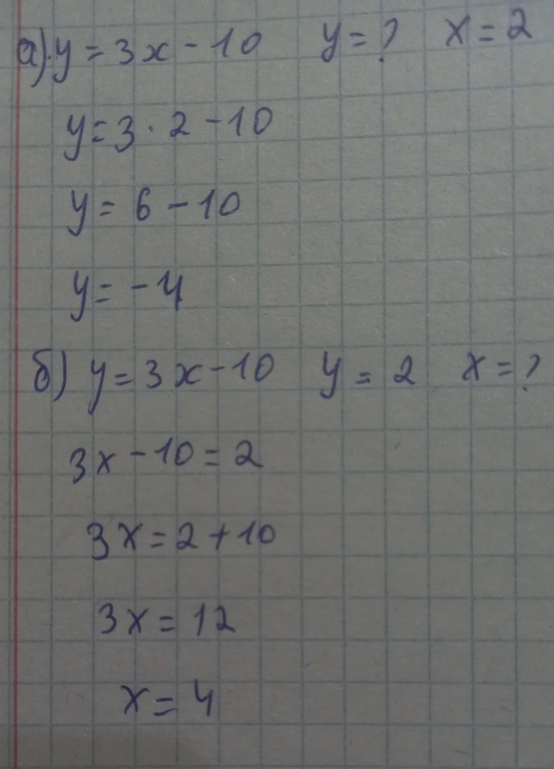
Функция задана формулой у = 3х -10. Определите:

а) значение у, если х = 2;

б) значение х, при котором у = 2;

в) проходит ли график функции через точку А (−2; – 16).

2. Постройте график функции у = 1,5х − 4. Укажите с помощью графика, чему равно значение у, при х = 4.

3. В одной и той же системе координат постройте графики функций:

у = −2х + 3 и у = -5.

4. Найдите координаты точки пересечения графиков функций

у = 47х − 37 и у = −13х + 23 .

5. Найти точки пересечения графика функции у = -2х + 6 с осями координат ОХ и ОУ.​

Ответы

Ответ дал: almdaulet11
1

Объяснение:

................. Это а и б

Приложения:
Вас заинтересует