• Предмет: Математика
  • Автор: matvijtomkiv
  • Вопрос задан 2 года назад

Допоможіть будь ласка
Розв'язання рівнянь.
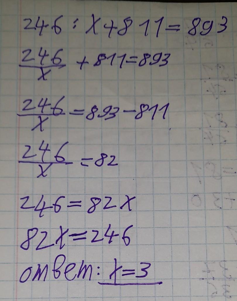
246:х+811= 893
2

Ответы

Ответ дал: shorom
0

Ответ:

дивись на фотографію

Пошаговое объяснение:

подпишись пж

Приложения:
Вас заинтересует