• Предмет: Математика
  • Автор: kovtunkristina012011
  • Вопрос задан 2 года назад

ДОПОМОЖІТ СРОЧНО ДАЮ 20 БАЛІВ
7 1/5:Х=2 2/5: 1 7/9

Ответы

Ответ дал: shorom
2

Ответ:

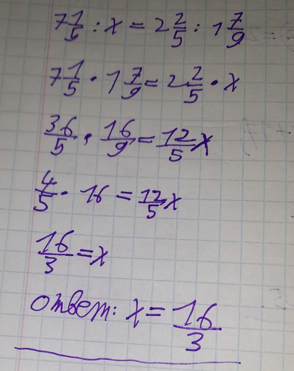
смотри на фото

Пошаговое объяснение:

подпишись пж

Приложения:
Ответ дал: elenacybulina68
1

Ответ:

Произведение крайних членов равно произведению средних членов

2 2/5х=7 1/5×1 7/9

2 2/5х=36/5×16/9

2 2/5=4/5×16/1

12/5х=64/5

х=64/5÷12/5=64/5×5/12=16/1×1/3

х=16/3=5 1/3

7 1/5÷5 1/3=2 2/5÷1 7/9

36/5÷16/3=12/5÷16/9

36/5×3/16=12/5×9/16

9/5×3/4=3/5×9/3

27/20=27/20

Вас заинтересует