• Предмет: Математика
  • Автор: sofiadan93542
  • Вопрос задан 2 года назад

СРОЧНО ДАМ СТО БАЛОВ ОСТАЛОСЬ 5 МИНУТ
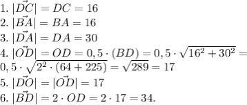
Орієнтуючись на малюнок поданого прямокутника ABCD, визнач модуль векторів. Відомо, що довжина сторін прямокутника AB= 12, BC= 16.

Приложения:

Ответы

Ответ дал: nedimkagatsenko
0
Модуль вектора це його длина
Приложения:
Вас заинтересует