• Предмет: Алгебра
  • Автор: zielena345
  • Вопрос задан 2 года назад

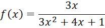
Знайти область визначення функції

Приложения:

Ответы

Ответ дал: lizziss
1

Ответ:

3x² + 4x + 1 ≠ 0

D = 16 - 12 = 4

x1 = -4 + √4/(3 • 2) = -2/6 = -1/3

x2 = -4 - √4/(3 • 2) = -6/6 = -1

Область визначення всі числа окрім -1/3 і -1

Вас заинтересует