Ответы
Ответ дал:
0
Ответ:8 8\4 : 2 1/3=4 2/7
Savva112:
поставь лучший ответ пж
Ответ дал:
0
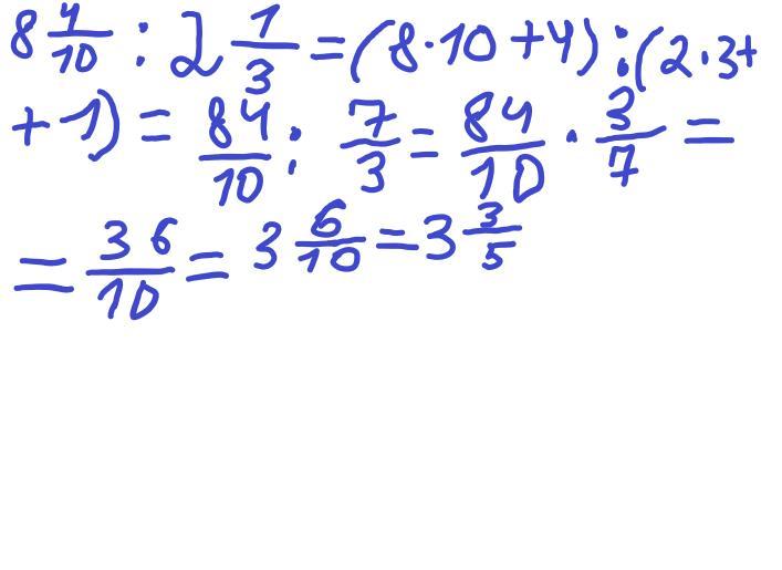
Ответ:
3 3/5
Пошаговое объяснение:
на фото
Приложения:

Вас заинтересует
1 год назад
1 год назад
1 год назад
1 год назад
3 года назад
8 лет назад