Ответы
Ответ дал:
1
Ответ:5 3/5:3 1/2=51/4:x=1 3/5=51/4:x
Savva112:
отметте как лучший ответ пожааалуйста,их всего три :(
Ответ дал:
1
Ответ:
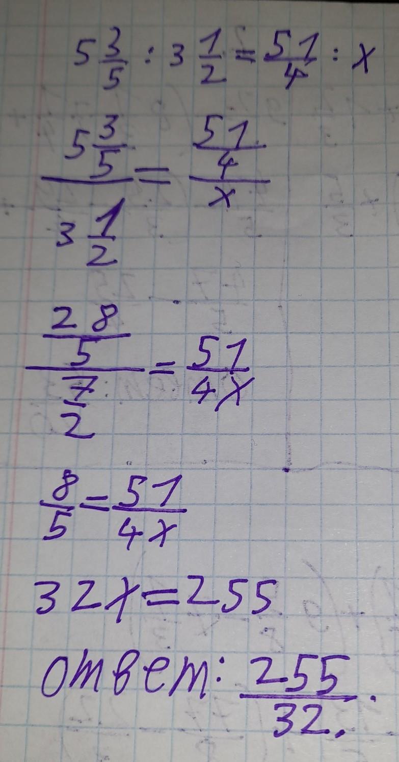
смотри на фото
Пошаговое объяснение:
подпишись пж
Приложения:

Вас заинтересует
1 год назад
1 год назад
1 год назад
1 год назад
3 года назад
8 лет назад
8 лет назад