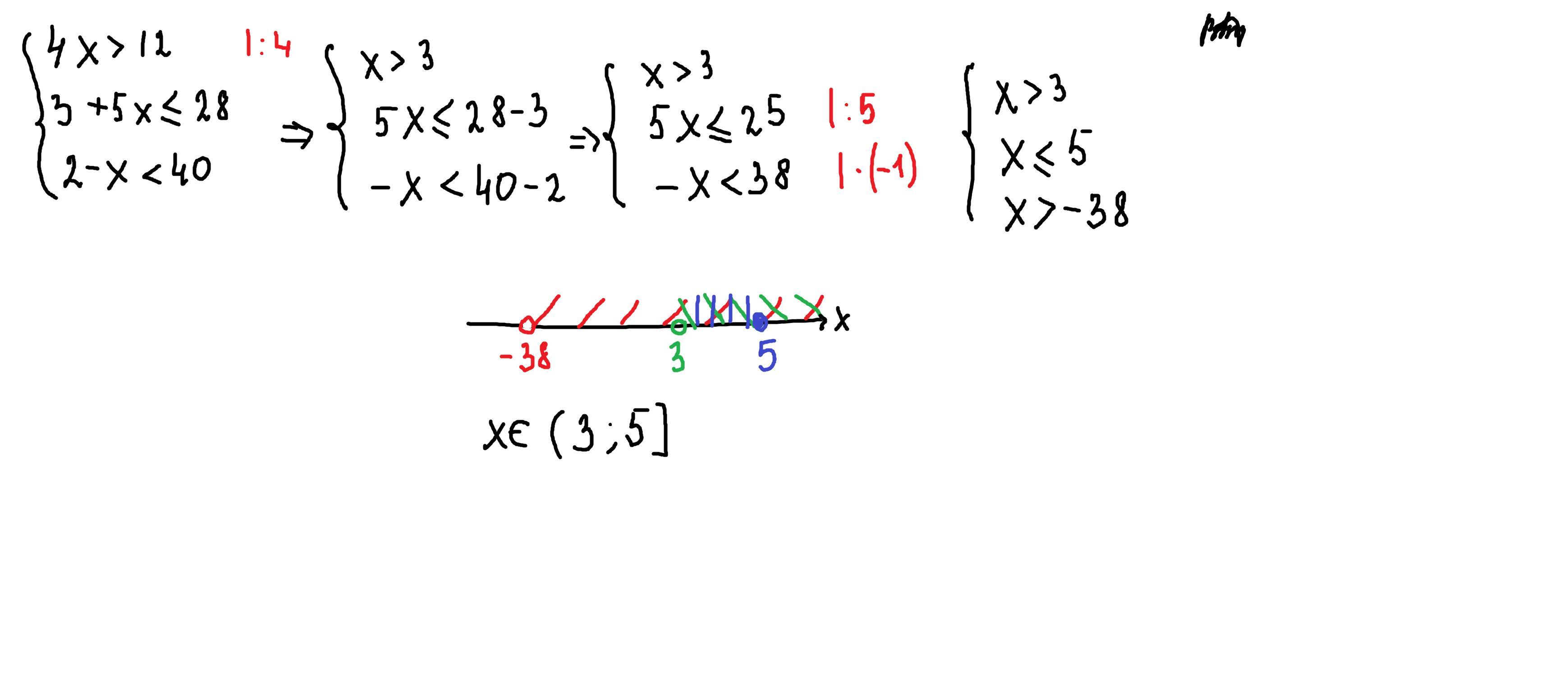
Реши систему неравенств: \begin{cases} 4x>12,\\ 3+5x\le 28,\\ 2-x<40. \end{cases}
⎩
⎪
⎪
⎨
⎪
⎪
⎧
4x>12,
3+5x≤28,
2−x<40.
Запиши в каждое поле ответа верные скобку и число без пробелов.
x\inx∈
;
.
Ответы
Ответ дал:
0
Ответ:
х∈(3;5]
Объяснение:
решением яв-ся промежуток где пересекаются одновременно все три штриховки
Приложения:

Вас заинтересует
1 год назад
1 год назад
1 год назад
3 года назад
3 года назад
8 лет назад
8 лет назад