• Предмет: Алгебра
  • Автор: sasharozkydanyi
  • Вопрос задан 2 года назад

помогите алгебра 10 клас ​

Приложения:

Ответы

Ответ дал: parus77
0

Ответ:

Объяснение:

решение и формулы внизу

Приложения:
Ответ дал: ludmilaksenija2005
0

Объяснение:

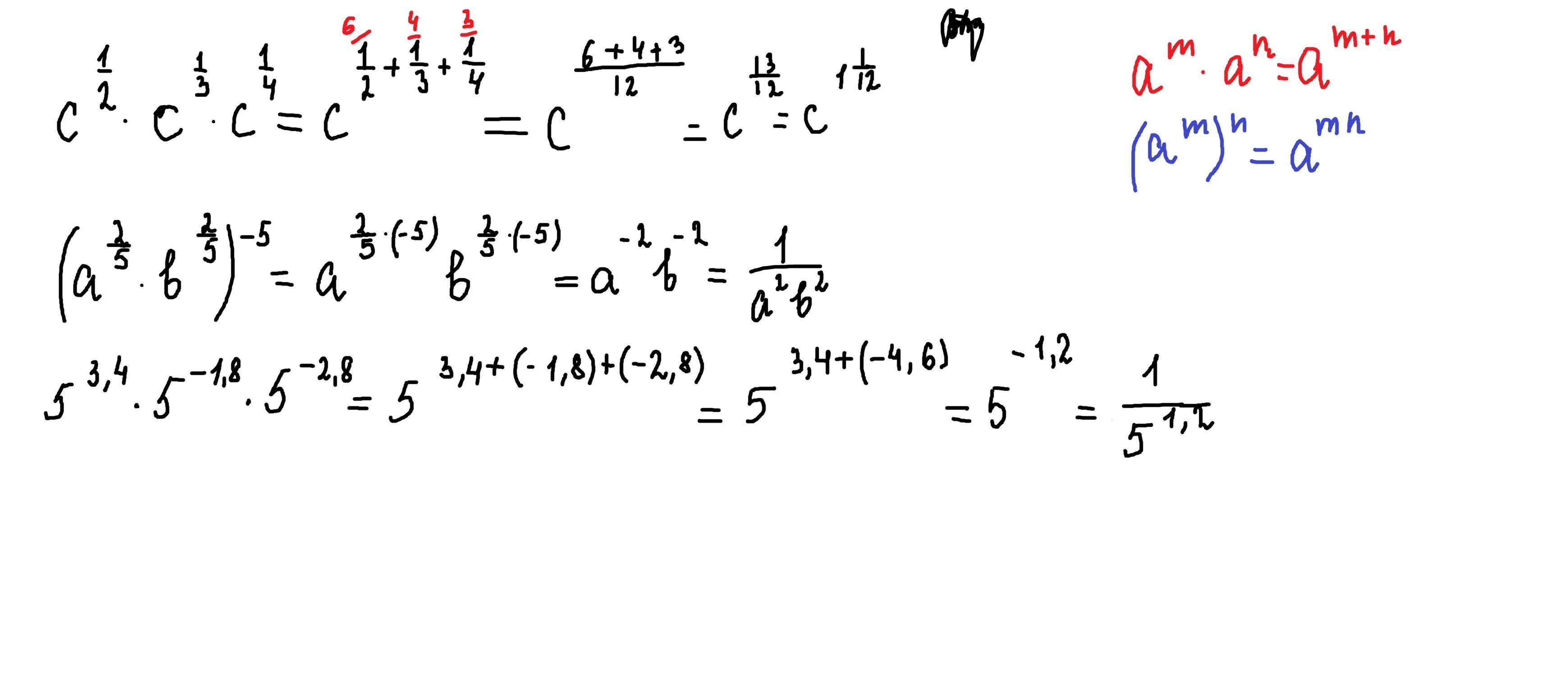
а)

с½с⅓с¼=с½+⅓+¼=с¹³/¹²

в)

(а⅖в⅖)`⁵=а`²в`²=1/а²в²

г)

5³'⁴•5`¹'⁸•5`²'⁸=5³'⁴`¹'⁸`²'⁸=5`¹'²=1/5¹'²

Вас заинтересует