• Предмет: Математика
  • Автор: minigale1
  • Вопрос задан 2 года назад

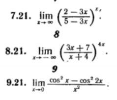
Прошу вас помочь мне с математикой
даю 20 баллов

Приложения:

Ответы

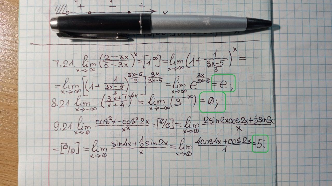
Ответ дал: HSS9860
1

Ответ:

7.21) е; 8.21) 0; 9.21) 5.

Пошаговое объяснение:

посмотрите предложенный вариант; ответы отмечены цветным; в квадратных скобках дано необязательное для записи.

Приложения:
Вас заинтересует