• Предмет: Математика
  • Автор: dashanoriko
  • Вопрос задан 2 года назад

АЛГЕБРА 10 КЛАСС ПОМОГИТЕ ПОЖАЛУЙСТА ​

Приложения:

Ответы

Ответ дал: yevheniiavz
1

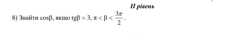
дивіться фото..................................

Приложения:
Вас заинтересует