• Предмет: Физика
  • Автор: ilchenkokristina08
  • Вопрос задан 2 года назад

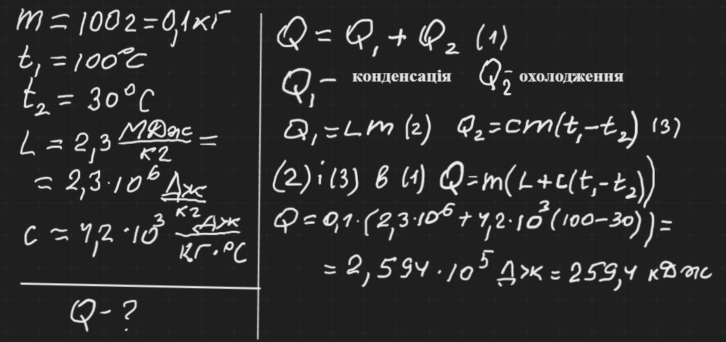
Скільки теплоти виділиться при конденсації 100 г води,взятої при температурі кипіння та подальшому охолодженню цієї води до 30 градусів

Ответы

Ответ дал: zybkov1950
2

Відповідь: 259,4 кДж

Пояснення:

Приложения:
Ответ дал: denis20202022
1

Ответ:

Объяснение:

теплота конденсации 1 кг воды = 2 300 000 Дж

при конденсации 100 грамм воды получим теплоты

230 000 Дж

Уд теплоемкость воды 4200 Дж/кг*°С

Дельта температуры 100-30 = 70°

Кол во тепла = 70*4200 * 0,1 кг = 4200 *7 = 29 400 Дж

Всего тепла = 230 000+29 400 = 259,4 кДж

Вас заинтересует