СРОЧНО, ДАЮ 80 БАЛЛОВ+ЛУЧШИЙ ОТВЕТ
Функция задана формулой у= 3х+1. Определить:
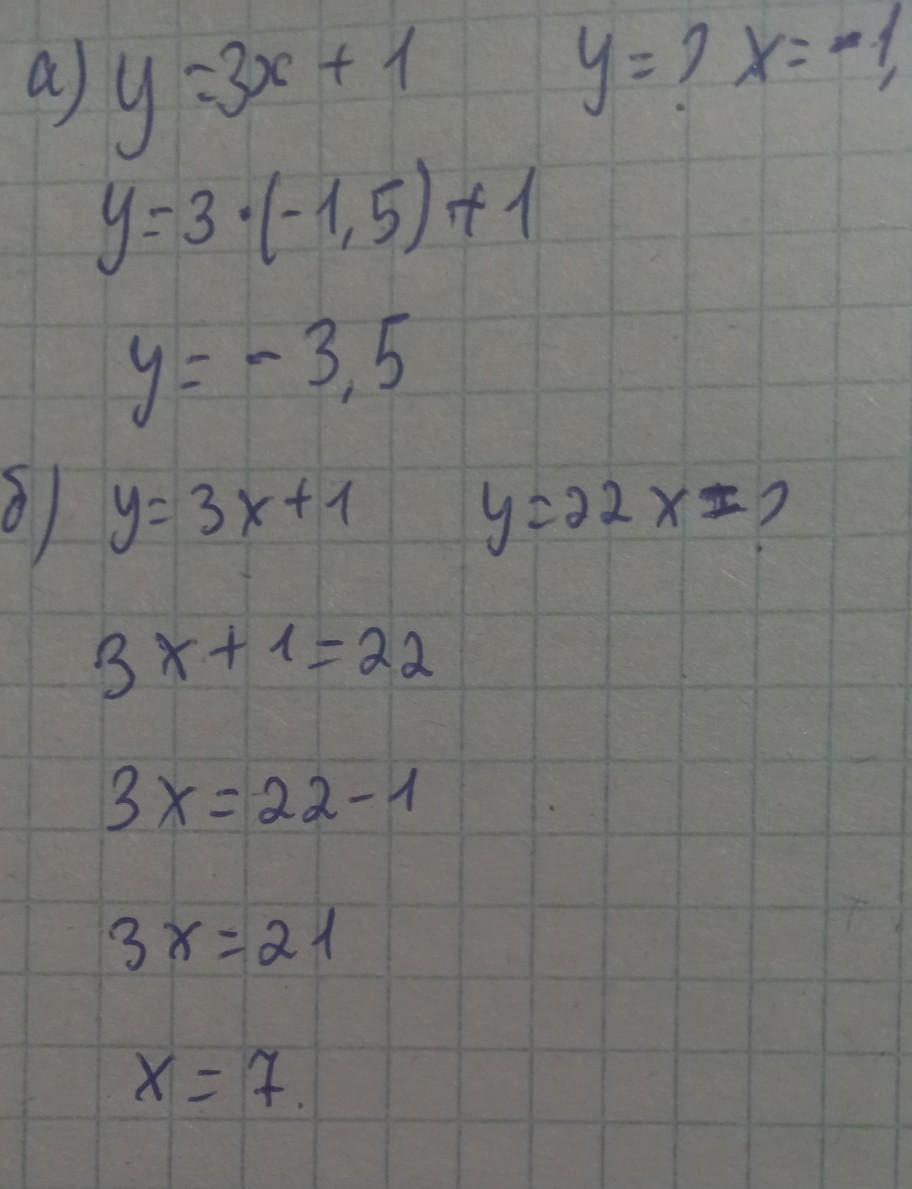
а) значение у, если х= - 1,5;
б) значение х, при котором у = 22;
в) проходит ли график функции через точку А(-15; 44)?
№ 2
Построить график функции у= 4х – 1.
а) Принадлежит ли графику точка В (-2; -9)
б) указать с помощью графика значение х, при котором у = 2; у = 0.
№ 3
Построить графики функции в одной системе координат:
а) у = -0,5x б) у = 3.
№ 4
Найти координаты точки пересечения графиков функций:
у =1,5х + 5 и у = 7х – 0,5?
№ 5
Известно, что график функции у=kх+1 проходит через точку C(-2;7).
Найдите значение k.
решение можно и на листочке, главное чтобы понятно было
Ответы
Ответ дал:
1
Ответ
Объяснение: Это а и б
Приложения:

Вас заинтересует
1 год назад
1 год назад
1 год назад
3 года назад
3 года назад
8 лет назад